Concurso De Acreedores Fases
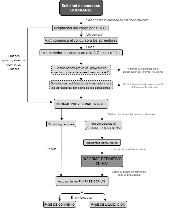
Fase común Se inicia tras el auto de declaración del concurso y su objetivo es analizar el patrimonio del concursado. Por tanto engloba tareas como la declaración de concurso la toma de medidas cautelares la determinación de las masas activa y pasiva y la clasificación de créditos.

El Procedimiento Abreviado El Concurso De Acreedores Rdl 1 2020 De 5 De Mayo Iberley
Concurso de acreedores tipos fases y cuándo procede su aplicación.

Concurso de acreedores fases. Es aquella en la que se tramitan las operaciones básicas de cualquier concurso de acreedores. Fase de calificación Esta es una fase crucial del concurso de acreedores durante esta fase se califica el tipo de concurso que puede ser. Divide el procedimiento en seis secciones. El Concurso de Acreedores en su estado puro se divide en dos Fases. Las operaciones de pago a los acreedores se regulan dentro de la fase de liquidación. En esta etapa es importante diseñar un plan de pagos minuciosos y programados garantizando la continuidad de la.
Declaración del concursoSe tomarán si procede medidas cautelares. Las fases del concurso se describen en el artículo 183 de la Ley Concursal. El concurso de acreedores es un procedimiento que se aplica en el caso de que alguna persona jurídica o física no esté en condiciones de pagar a sus acreedores es decir está en condición de insolvencia. Durante la segunda se realiza el convenio de acreedores o la liquidación de la sociedad. Fase común y Fase de convenio o de liquidación aunque las dos últimas pueden ser sucesivas en el tiempo. Fase común La fase común se inicia con la solicitud de declaración del concurso que podrá realizarse por parte del deudor concurso voluntario o por parte de alguno de los acreedores u otras personas legitimadas concurso necesario.
Esta fase tiene una duración que va desde tres meses a cinco años aproximadamente. Lo relativo a la declaración de concurso a las medidas cautelares a la resolución final de la fase común a la conclusión y en su caso a la reapertura del concurso. La siguiente fase de los concursos de acreedores es la fase de convenio en la cual se abre la recepción de propuestas de convenio entre el deudor y acreedor. Durante la primera se realiza una evaluación de la situación real de la empresa. Enajenación como un todo salvo que resulte más conveniente a los intereses del concurso su división o la realización aislada de todos o alguno de sus elementos componentes con preferencia a las soluciones que garanticen la continuidad de la empresa. El concurso de acreedores tiene dos fases principales.
Cuáles son las fases de un concurso de acreedores. El concurso de acreedores consta de dos fases. Si necesitas un despacho de abogados de derecho concursal puedes contactar a. Esta ley diferencia cuatro fases del concurso de acreedores. La de evaluación de la situación económica de la empresa y la de convenio o liquidación. Estos serán los pasos a tomar en la primera fase.
Nada más y nada menos que ciento ochenta y tres artículos después de su inicio la Ley Concursal regula -en ese artículo- las Secciones del procedimiento de concurso las cuales son las siguientes. El deudor puede realizar una propuesta de convenio de acreedores anticipada. 12 rows Las fases del concurso El Texto Refundido de la Ley Concursal recoge las 6. Concurso de acreedores.
Concurso De Acreedores Lex Capital

Que Es Un Concurso De Acreedores Crisis En Una Empresa
Concurso De Acreedores Para Que Sirve

Que Es Un Concurso De Acreedores Informacion Concurso De Acreedores Viviendas Edival S A
Procedimiento Concursal Y Liquidacion Concursal Fases Tecnica Industrial De Liquidaciones
Concurso De Acreedores Para Personas Fisicas Informacion De Abogados

Desarrollo Del Concurso De Acreedores Administracion Concursal Forum Filatelico
Derecho Concursal Concurso De Acreedores Y Segunda Diez Tesis Sobre Microcreditos

Analisis De La Viabilidad Empresarial En El Preconcurso De Acreedores

Concurso De Acreedores Express Por Que Esta Despertando Tanto Interes Entre Las Empresas En Crisis Blog Ce Consulting

La Declaracion Del Concurso De Acreedores Rdl 1 2020 De 5 De Mayo Iberley

Que Es Un Concurso De Acreedores Respuestas Tips

El Procedimiento Abreviado El Concurso De Acreedores Rdl 1 2020 De 5 De Mayo Iberley

El Procedimiento Abreviado El Concurso De Acreedores Rdl 1 2020 De 5 De Mayo Iberley
Posting Komentar untuk "Concurso De Acreedores Fases"