Goldstein Chapter 10 Solutions
Solutions to Problems in Goldstein Classical Mechanics. Solution Manual Classical Mechanics Goldstein Homework Solutions In the Journal of the Franklin Institute Rupen Eskergian noted that the first edition of Classical Mechanics offers a mature take on the subject using vector and tensor notations and with a welcome emphasis on variational methods.

Selected Solutions To Chapter 8 For Classical Mechanics By Goldstein Docsity
Solutions to Problems in Goldstein Classical Mechanics Second Edition Homer Reid August 22 2000 Chapter 1 Problem 11 A nucleus originally at rest decays radioactively by emitting an electron of mo- mentum 173 MeVc and at right angles to the direction of the electron a neutrino with momentum 100 MeVc.

Goldstein chapter 10 solutions. November 22 2021 If you need more time you can turn in HW10 on Wednesday or Thursady. Velocity-Dependent Potential Dissipation function. This resulti s first order in ω because we have dropped the second order term ωωr in computing the deflection. Now with expert-verified solutions from Classical Mechanics 3rd Edition youll learn how to solve your toughest homework problems. Goldstein Solution Chapter 12 Problem 127 Goldstein Solution Chapter 12 Problem 125 Goldstein Solution Chapter 12 Problem 123 Goldstein Solution Chapter 12 problem 121 Goldstein solution Chapter 10. Homework 2 Due October 22 2002.
Elementy Principles11 Mechanics single ParticleClassical mechanicsical incorporates special relativity. Instructors Solutions Manual Marion Thornton Classical Dynamics of Particles and Systems By Choi Young-il. Section on the exact solutions to the three-body problem obtained by Euler and Lagrange a. CHAPTER 9 CANONICAL TRANSFORMATIONS DERIVATIONS. Please let me know if. Follow edited Apr 15 13 at 1823.
Sign Up Sign Up. Solutions of goldstein classical mechanics solutions problems for chapter we obtain directly dr dz f2 rr the equation of the curve is f2 rr from which the. Log in with Facebook Log in with Google. Herbert Goldstein Charles P. Arnold chapter 9 Field systems 1 week. HamiltonJacobi Theory and Action-Angle Coordinates Chapter 11.
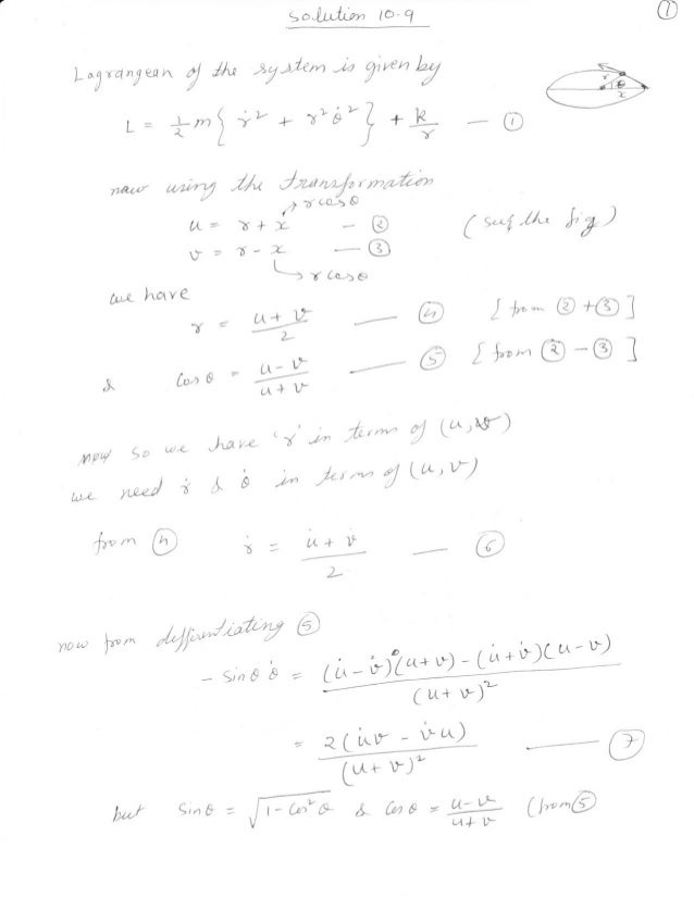
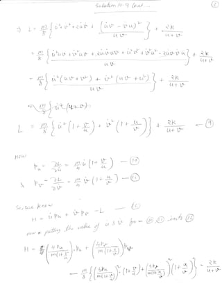
Classical Mechanics 3rd Edition Authors. Remember me on this computer. Problem 5Goldstein 310 The planet with mass M is moving on a highly eccentric elliptic orbit so its energy is E 0 k 2a where note that ǫ 1 E 0 but not quite. In other words you need just a small change E to get to E 0. Only one problem of 34 and 35 is required if you solve both its for. We are given a transformation as follows We know that the fundamental Poisson Brackets of the transformed variables have the same value when evaluated with respect to any canonical coordinate set.
With expert explanations for thousands of practice. SOLUTIONS Chapter 9- Canonical Transformation Book. Community wiki 2 revs 2 users 100 user11543. Chapter 3 10 where we used that fact that since this is a circular orbit the condition kr l2 mr2 is satisfied. Keplers laws motion in time Keplers equation. Our resource for Classical Mechanics includes answers to chapter exercises as well as detailed information to walk you through the process step by step.
Show directly that the transformation is canonical. The Two Body Central Force Problem 1 A particle of mass mis constrained to move under gravity without friction. Solutions to Problems in Goldstein Classical Mechanics Second Edition 2000. Jones Physics Today Sep06 Goldstein Classical Mechanics NotesMichael GoodMay 30 20041 Chapter 1. Enter the email address you signed up with and well email you a. Solutions for Classical Mechanics - GoldsteinH 2ndedition Muthumanimaran V MSc.
Solutions Goldstein Chapter 9. Goldstein 3rd edition Chapter 6 problem 4. Useful formulae for spherical coordiantes. Solutions now available in DVI PDF and PostScript formats. Which in Goldsteins notation for the colatitude is ωcosθ as required. Homer Reids Solutions to Goldstein Problems.
Does anyone know where I can find some good solution of Goldsteins book Classical Mechanics. Goldstein chapter 10 solutions My solutions to selected exercises in commonly used university level texts are compiled here. Homework 1 Due October 15 2002. Goldstein chapter 13 Homework. Physics Department of Theoretical Physics University of Madras June 8 2017 1. This paper contains handwritten comprehensive solutions to the problems proposed in the book Classical Mechanics 3th Edition by Herbert Goldstein.
February 28th 2013 185416 PM. Dont have an account. Goldstein 3rd edition Chapter 6 problems 12. Goldstein Solutions Chapter 10. At the aphelion where it has velocity v 0 all in the tangent direction it is hit by. Author Herbert Goldstein Country United States of America Language English Subject Classical mechanics.
Classical Mechanics solution manual. Solutions to Problems in Goldstein Classical Mechanics Second Edition Problem 11. Solutions to Problems in Goldstein Classical Mechanics Second Edition Homer Reid August 22 2000 Chapter 1 Problem 11 A nucleus originally at rest decays radioactively by emitting an electron of momentum 173 MeVc and at right angles to the direction of the electron a neutrino with momentum 100 MeVc. Goldstein424 Let rθ denote the polar coordinates of the bug at time t where r is measured from the center of the wheel. Classical mechanics goldstein solutions pdf 10 - Oct 30 - Nov 3 53-5 Inertia tenzor Main Axes Euler Equation57 Heavy Symmetrical Peak Wheel Stability D. Pendulum with a moving support.
Hamilton-Jacobi theory 1 week. Classical Mechanics - Fall 2006. Available in DVI PDF and PostScript formats. Solutions to Problems in Goldstein Classical Mechanics Second Edition Homer Reid October 29 2002 Chapter 9 Problem 91 One of the attempts at combining the two. The solutions are limited to chapters 1 2. Close Log In.
Evidently 17 is twice 18 for the same particle at the same point so the unsquared speed in the parabolic orbit is 2 times that in the circular orbit at the same point.

Solutions Manual For Introduction To Genetic Analysis 10th Edition By Griffiths Wessler Carroll And Analysis Solutions Introduction

Viewing Matrices Probability As Graphs Learning Mathematics Matrices Math Graphing

Solutions To Problems In Goldstein Classical Mechanics Second

Chapter 10 Solutions Classical Mechanics 3rd Edition Chegg Com

Plus Two Maths Chapter Wise Questions And Answers Chapter 3 Matrices 30 1 Https Www Aplustopper Com Pl Math Methods Word Problem Worksheets Rhetorical Analysis

12 Class Maths Quick Revision Notes Chapter 10 Vector Algebra Free Pdf In 2021 Algebra Math Notes Revision Notes
![]()
Solutions To Problems In Goldstein Classical Mechanics Docsity

Goldstein Herbert Classical Mechanics Solution Manual Docsity

Goldstein Solution Chapter 8 2 20 26 35

Solutions To Problems In Goldstein Classical Mechanics

Pin On Rbse Solutions For Class 12 Maths


Posting Komentar untuk "Goldstein Chapter 10 Solutions"